logo

Urz膮d Miejski w Koluszkach

Prawo lokalne » Zarz膮dzenia Burmistrza » Rok 2005
ZARZ膭DZENIE NR 006/05 BURMISTRZA MIASTA KOLUSZKI Z DNIA 7 LUTEGO 2005

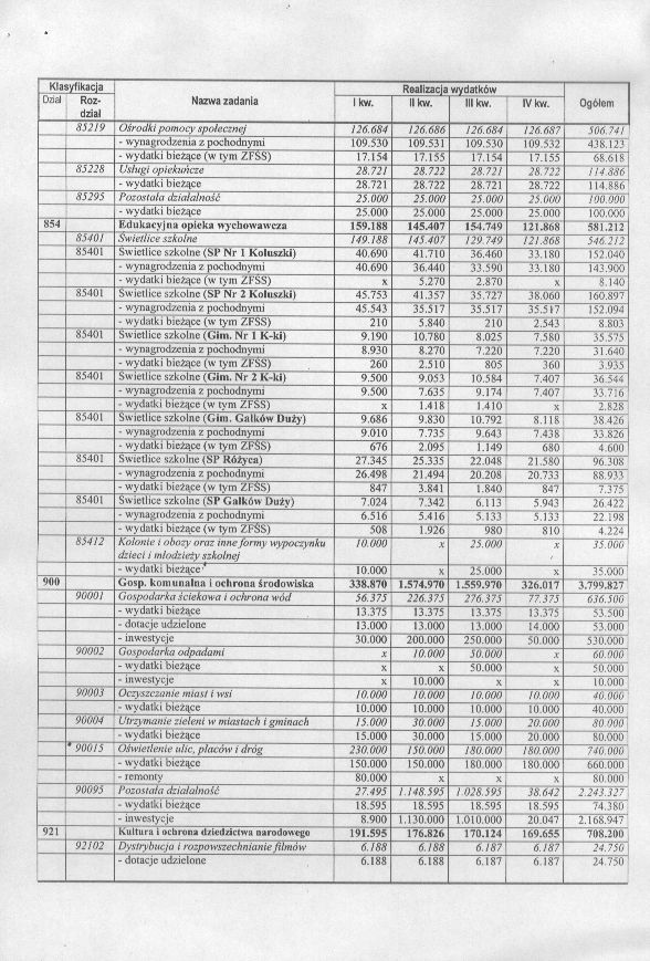
w sprawie opracowania harmonogramu realizacji dochod贸w i wydatk贸w bud偶etu gminy na rok 2005

TypRozmiarPobierzKomentarzData dodaniaLicznik 
graf.232.4 KB POBIERZ2005-04-04 08:17:03449
graf.379.2 KB POBIERZ2005-04-04 08:17:27504
graf.99 KB POBIERZ2005-04-04 08:17:49511
graf.124 KB POBIERZ2005-04-04 08:18:13480
graf.113.6 KB POBIERZ2005-04-04 08:18:29479
graf.136.7 KB POBIERZ2005-04-04 08:18:52473
graf.139.5 KB POBIERZ2005-04-04 08:19:13452
graf.136.7 KB POBIERZ2005-04-04 08:19:29457
graf.72.2 KB POBIERZ2005-04-04 09:38:05434

Autor : 
Zredagowa艂(a) : Dariusz Sobieszek
Data wprowadzenia : 2005-04-01 15:12:36
Data ostatniej modyfikacji : 2006-02-23 10:29:39
Liczba wy艣wietle艅 : 2274

Redaktor  Data modyfikacji 
Dariusz Sobieszek  23.02.2006 10:08poka偶 t膮 wersj臋
Dariusz Sobieszek  01.04.2005 15:14poka偶 t膮 wersj臋
Dariusz Sobieszek  01.04.2005 15:12poka偶 t膮 wersj臋



licznik odwiedzin: 12019688